外卖盒,塑料饭盒!仅3分钟微波炉加热,释放出20亿微塑料颗粒
2023-09-19 14:19:46 来源:医诺维近日,美国内布拉斯加大学林肯分校的研究人员在《环境科学与技术》杂志上发表了一篇题为" Assessing the Release of Microplastics and Nanoplastics from Plastic Containers and Reusable Food Pouches:Implications for Human Health "的研究论文。
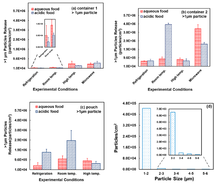
该研究显示,与冷藏或室温相比,微波炉加热导致微塑料和纳米塑料释放到食品中的数量最高,仅3分钟,每平方厘米塑料中会释放出超过21亿个纳米塑料和422万个微塑料。
在该研究中,研究人员分析了两个由聚丙烯制成的婴儿食品容器和一个由聚乙烯制成的袋子进行了实验,这两种塑料均获得了美国食品和药物管理局的批准。
研究人员使用去离子水和3%乙酸来模拟食物,分析了不同场景下塑料容器和食品袋中微塑料和纳米塑料的释放情况。
研究发现,在不同场景中,与冷藏、室温、高温储藏相比,微波炉加热3分钟释放的微塑料最多。
具体来说,每平方厘米聚丙烯容器释放了42.5万个微塑料和1.69亿个纳米塑料,每平方厘米聚乙烯容器释放了422万个微塑料和21.1亿个纳米塑料。

研究人员表示,微波加热过程中塑料颗粒的高释放是由于同时发生了水解、热降解和紫外线照射降解。微波的电磁波可以穿透塑料材料,加热容器内部,而食品的高温则进一步增加了塑料容器中微塑料和纳米塑料的释放。
此外,研究还发现,用微波炉加热聚丙烯、聚乙烯容器中的水或乳制品,产生的微塑料浓度相对最高。
最后,研究人员还进行了一项体外实验,将人胚胎肾细胞培养在1000 μg/mL浓度下微塑料溶液中,72小时后,暴露于高浓度的肾细胞中只有23%能够存活下来。

研究人员表示,尽管我们的肾脏不会暴露在这样的浓度下,但它让我们对这些微塑料和纳米塑料的潜在毒性有所了解。
微塑料已经入侵人类心脏
近日,首都医科大学附属北京安贞医院杨秀滨、华琨等人在《环境科学与技术》期刊上发表了一篇题为" Detection of Various Microplastics in Patients Undergoing Cardiac Surgery "的研究论文。
研究显示,微塑料已经入侵人类心脏,在接受心脏手术患者的心脏组织中发现了微塑料。
研究人员收集了15名接受心脏手术的人的心脏组织样本,以及一半参与者术前和术后的血液样本,通过激光直接红外成像分析了样本中的微塑料。
在组织样本中,研究人员发了8种微塑料颗粒,直径20-500微米之间,包括聚对苯二甲酸乙二醇酯、聚氯乙烯和聚甲基丙烯酸甲酯等等。
在血液样本中,研究人员也发现了塑料颗粒,在手术后,微塑料的平均尺寸有所减少,但种类增加了。这可能表明,在手术过程中意外引入了微塑料。
- • 3·15丨中成药质量不合格报告 2025-03-17
- • 3·15丨中药材质量不合格报告 2025-03-17
- • 断碳水、吃益生菌有用吗?权威指南教你减肥 2025-01-16
- • 有人“天然短睡眠”却无碍健康,科学家发现七个突变基因 2025-01-16
- 网友评论:
- 已有0条评论
②本网转载并注明自其它来源的作品或会员自行上传的资料,目的在于传递更多信息,并不代表本网赞同其观点或证实其内容的真实性,不承担此类作品侵权行为的直接责任及连带责任。其他媒体、网站或个人从本网转载时,必须保留本网注明的作品来源,并自负版权等法律责任。
③如涉及作品内容、版权等问题,请在作品发表之日起一周内与本网联系,否则视为放弃相关权利。