柳叶刀重磅:研究表明,流感对健康的长期影响与“长新冠”影响相似
2023-12-27 15:23:31 来源:疾病防控
自 COVID-19 大流行开始以来,已经出现了广泛的研究,详细介绍了该病毒攻击多个器官系统的能力,可能导致一系列持久且常常致残的健康问题,我们常称为“长新冠”。其他病原体引起的急性呼吸道感染 (ARIs) 可能也会引起长期症状,但很少有研究比较新冠和其他ARIs之间的急性后遗症。
今年10月份,来自伦敦玛丽女王大学的一项研究比较了既往感染过新冠的人、既往感染过非新冠ARIs的人和未报告感染的人之间的症状特征,然后确定既往感染过新冠病毒或非新冠ARIs的人之间不同的症状群。该研究题为“Long-term symptom profiles after COVID-19 vs other acute respiratory infections: an analysis of data from the COVIDENCE UK study”,发表在柳叶刀子刊eClinicalMdicine杂志。

来源:https://doi.org/10.1016/j.eclinm.2023.102251
该研究结果发现既往新冠感染与多种症状的患病率和严重程度增加有关,包括胃肠道、神经系统、肌肉骨骼和心肺问题,并且这种增加的症状负担在急性感染后持续了 12 周以上。
此外,与非新冠ARIs的参与者相比,感染新冠的参与者更有可能报告味觉或嗅觉问题以及头晕或头晕。与最近感染的参与者相比,12周以上感染新冠的参与者咳嗽、味觉或嗅觉问题以及呼吸困难的症状较轻,这表明这些症状可能首先出现改善。
越来越多的证据表明,新冠肺炎并不是唯一一种可能导致持续且令人衰弱的病毒性疾病。近日,圣路易斯华盛顿大学医学院和圣路易斯退伍军人事务部医疗保健系统的最新研究表明,因季节性流感住院的人也会遭受长期的负面健康影响,尤其是肺部和呼吸道。该研究题为“Long-term outcomes following hospital admission for COVID-19 versus seasonal influenza: a cohort study”,发表在The Lancet杂志。

来源:https://doi.org/10.1016/S1473-3099(23)00684-9
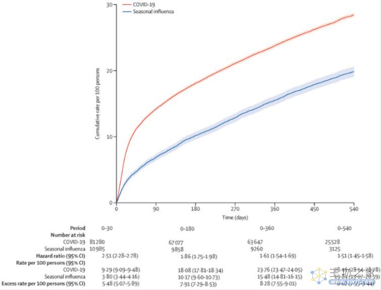
为了更深入的研究新冠病毒和流感可能产生的后果,研究人员查阅了美国退伍军人事务部的数据。他们重点关注了 2020 年 3 月至 2022 年 6 月期间因新冠肺炎住院的 81,280 名退伍军人的记录,以及 2015 年 10 月至 2019 年 2 月期间因流感住院的 10,985 名退伍军人的记录。研究中几乎所有患者都是男性,平均年龄约为71岁。
在感染后的 18 个月内,两组患者的死亡、再入院以及涉及心脏、肾脏、大脑和消化系统等多个器官的健康问题的风险均增加。此外,风险最高的时间是初次感染后 30 天或更晚。研究发现,新冠患者更有可能同时出现多个器官系统的长期问题。流感患者也经历过这种情况,但更有可能出现与肺部相关的持久症状。

来源:https://doi.org/10.1016/S1473-3099(23)00684-9
新冠肺炎显示出比季节性流感更大的健康损失风险。在这项研究中,研究人员发现,新冠肺炎在所有器官系统检查的健康状况中,68%的疾病风险增加,而流感与6%的疾病状况风险增加有关,主要是在呼吸系统。

来源:https://doi.org/10.1016/S1473-3099(23)00684-9
在整个随访期间,与季节性流感入院相比,前Delta、Delta 和 omicron 时代因 COVID-19 入院与较高的死亡风险以及较高的各器官不良健康结果风险相关。在所有研究的三个时代中,感染急性后期的疾病负担比急性期更大;除肺部系统外,在感染的急性期和急性后期,COVID-19 队列的所有其他器官系统的疾病负担均高于季节性流感队列。
根据各自的疫苗接种状况来估计因 COVID-19 和季节性流感入院的患者的相对风险。结果发现,与季节性流感相比,无论 COVID-19 和季节性流感疫苗接种情况如何,COVID-19 死亡和除肺系统外所有器官受累的风险均较高。
通过对死亡结果、每个器官系统以及所有器官系统进行多项敏感性分析,所有敏感性分析的结果与主要结果一致,表明除肺系统外,COVID-19 在所有器官系统中具有较高的死亡和疾病风险。
在对因新冠住院的患者与因季节性流感住院的患者的长期健康结果进行比较分析时,研究人员发现,两者的绝对死亡率、不良健康结果和医疗保健利用率都很高,但与季节性流感相比,新冠的发病率明显更高。与疾病急性期相比,这两种感染在急性后阶段都会导致更高的健康损失负担,相比之下,新冠比季节性流感有更高的急性和急性后期健康损失负担。
总之,这些发现强调了季节性流感住院后的高死亡人数、健康损失和医疗保健利用率,以及新冠感染的死亡人数甚至更高,并强调了继续需要降低这两种病毒的住院风险,以此减轻人群的健康损失负担。
来源:https://doi.org/10.1016/S1473-3099(23)00684-9
https://doi.org/10.1016/j.eclinm.2023.102251
- • 3·15丨中成药质量不合格报告 2025-03-17
- • 3·15丨中药材质量不合格报告 2025-03-17
- • 断碳水、吃益生菌有用吗?权威指南教你减肥 2025-01-16
- • 有人“天然短睡眠”却无碍健康,科学家发现七个突变基因 2025-01-16
- 网友评论:
- 已有0条评论
②本网转载并注明自其它来源的作品或会员自行上传的资料,目的在于传递更多信息,并不代表本网赞同其观点或证实其内容的真实性,不承担此类作品侵权行为的直接责任及连带责任。其他媒体、网站或个人从本网转载时,必须保留本网注明的作品来源,并自负版权等法律责任。
③如涉及作品内容、版权等问题,请在作品发表之日起一周内与本网联系,否则视为放弃相关权利。