JAMA子刊:长达21年的研究发现,高血糖/血脂与抑郁症、焦虑症和应激相关疾病风险升高有关
2024-04-15 10:25:42 来源:网络越来越多的研究表明,代谢失调与精神疾病的发展有关[1-3],炎症可能是在其中发挥调节作用的中介因素。脂质和葡萄糖异常可激活先天免疫细胞,促进促炎细胞因子释放和生物胺分解代谢,导致小胶质细胞诱导的下丘脑炎症,这些炎症与抑郁症、焦虑症和应激相关疾病的发展都有关,三者也是常见的精神疾病,有约1/3的人在一生中会受此影响[4]。
为了探寻血液中碳水化合物、脂质和载脂蛋白生物标志物与抑郁症、焦虑症和应激相关疾病的风险的关联,瑞典卡罗林斯卡医学院的研究团队开展了一项纵向研究,通过对超21万人平均21.0年的随访,研究人员发现,高水平的葡萄糖和甘油三酯分别与以上三种精神疾病风险增加30%和15%有关,高水平的高密度脂蛋白胆固醇(HDL-C)与风险降低12%有关。
研究发表在JAMA Network Open杂志上。
这项研究使用了瑞典载脂蛋白相关死亡风险(AMORIS)队列中211200例参与者的数据,参与者年龄在16岁及以上,基线时没有任何精神疾病。研究的主要结局为首次确诊抑郁症、焦虑症或应激相关疾病,包括急性应激反应、创伤后应激障碍、适应障碍、对严重应激的其他反应和未详细说明的严重应激反应。
211200例参与者中,42.0%为女性,基线的平均年龄为42.1岁。平均21.0年的随访期内,共有16256人被诊断为抑郁症、焦虑症或应激相关疾病,发病率为36.4/10000人年,诊断时的平均年龄为60.5岁。
9725例参与者(4.6%)被诊断为抑郁症(发病率21.5/10000人年),7582例(3.6%)被诊断为焦虑症(发病率16.6/10000人年),4833例(2.3%)被诊断为应激相关疾病(发病率10.5/10000人年)。共有3128名参与者(1.5%)同时被诊断出抑郁症和焦虑症,不到1%的被诊断出患有抑郁症和应激相关疾病(1978,0.9%)或同时患有焦虑和应激相关疾病(1544,0.7%)。984名参与者(0.4%)同时接受了3项诊断。
与低水平或正常水平相比,高水平的葡萄糖和甘油三酯与抑郁症、焦虑症和应激相关疾病的风险升高30%和15%有关,高水平的HDL-C与风险降低12%有关。低水平和正常水平葡萄糖两组参与者的抑郁症、焦虑症或应激相关疾病的风险没有差异。分别计算抑郁症、焦虑症和应激相关疾病时得到的结果是一致的。男性和女性中均存在相似的关联。

生物标志物水平与总体和每种精神疾病风险的关联
仅包括就业人员的敏感性分析显示出与主要分析相似的结果。
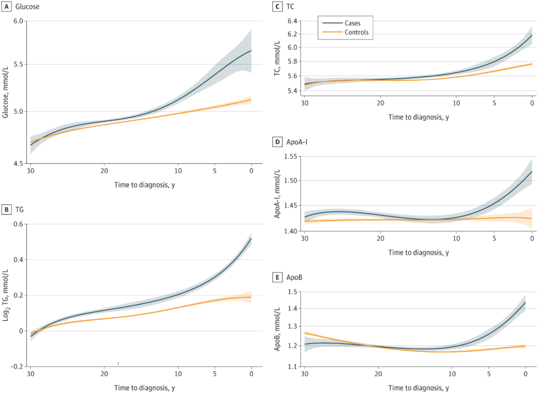
从时间发展的趋势来看,与对照组相比,抑郁症、焦虑症或应激相关疾病患者在诊断前20年内葡萄糖、甘油三酯和总胆固醇水平始终较高,在诊断前10年内的ApoA-I和ApoB水平也更高。根据疾病类型分组时,在抑郁症中观察到类似的结果,但在焦虑或应激相关疾病中没有观察到。

患者(蓝)和对照组(黄)的葡萄糖、甘油三酯、总胆固醇、ApoA-I和ApoB(A-E)在30年内的变化趋势
综上,在这项大型的、基于人群的纵向队列研究中,研究人员发现葡萄糖和甘油三酯水平升高以及HDL-C水平降低与常见精神疾病(抑郁、焦虑或应激相关疾病)的风险增加有关。这一结果在单独的3种疾病中是一致的,且不具有性别差异。
此前已经有一些研究对生物标志物与精神疾病之间的关联进行探索,但据研究人员所知,还没有纵向研究调查过载脂蛋白与焦虑和应激相关疾病的关联。在这项研究中,在分析时间内没有发现载脂蛋白的关联,而在时间趋势分析中,精神疾病,尤其是抑郁症患者在诊断前10年内表现出ApoA-I和ApoB水平升高。这些疾病的症状前阶段可能解释了观察到的时间趋势。
研究人员建议,可以对代谢失调患者进行更加密切的随访,以预防和早期诊断精神疾病,未来,还需要更多的研究以证实对心脏代谢疾病的严格或早期干预是否可以抵消风险的增加。
- • 3·15丨中成药质量不合格报告 2025-03-17
- • 3·15丨中药材质量不合格报告 2025-03-17
- • 断碳水、吃益生菌有用吗?权威指南教你减肥 2025-01-16
- • 有人“天然短睡眠”却无碍健康,科学家发现七个突变基因 2025-01-16
- 网友评论:
- 已有0条评论
②本网转载并注明自其它来源的作品或会员自行上传的资料,目的在于传递更多信息,并不代表本网赞同其观点或证实其内容的真实性,不承担此类作品侵权行为的直接责任及连带责任。其他媒体、网站或个人从本网转载时,必须保留本网注明的作品来源,并自负版权等法律责任。
③如涉及作品内容、版权等问题,请在作品发表之日起一周内与本网联系,否则视为放弃相关权利。